On 2/18/26, the President signed an executive order[1] promoting the national defense by ensuring adequate supplies of phosphorus and glyphosate-based herbicides. I am in complete agreement regarding the phosphorus as it has several military related uses. However, glyphosate’s use is another matter. The order’s arguments supporting glyphosate use are primarily economic and security, while at the same time providing healthy food options. Fair enough. I will address the security and economic arguments before turning to the healthy food objective. If the health concerns discussed later are valid, then they contradict the Administration’s policies for making America healthy again. The order itself is only a couple of pages, with another half page of statute/code citations. It is worth your reading.
Economic/Security Arguments
The economic/security arguments within the order advocating glyphosate’s use include;[2]
- “[M]aintaining America’s agricultural advantage by enabling farmers to efficiently and cost-effectively produce food and livestock feed.”
- “[Glyphosate-based herbicides are a cornerstone of this Nation’s agricultural productivity and rural economy,”
- “[M]aintain high yields and low production costs while ensuring that healthy, affordable food options remain within reach for all American families.”
- “Lack of access to glyphosate-based herbicides would critically jeopardize agricultural productivity, adding pressure to the domestic food system, and may result in a transition of cropland to other uses …”
- “Given the profit margins growers currently face, any major restrictions in access to glyphosate-based herbicides would result in economic losses for growers and make it untenable for them to meet growing food and feed demands.”
Background
I agree that a country’s food supply is a national security issue. A country’s government that cannot provide an environment whereby its people can meet their basic needs; such as food, water, shelter, and clothing—is unlikely to remain a viable country for long. The USDA’a Economic Research Service estimated total U.S. cropland to be about 390 million acres in 2017, with about 338 million of that acreage employed in crop production in the same year.[3]
It is undisputed that glyphosate-based herbicides are a cornerstone of America’s agricultural productivity. America uses almost 80 million pounds of glyphosate each year and Canada buys about 55 million pounds; North America uses more glyphosate than any other area of the world.[4] These herbicides are used on crops such as wheat, barley, rye, oats, canola (a rapeseed descendent) and legumes (such as soybeans, chickpeas, and lentils). For some of these crops glyphosate is used as a desiccant to dry crops just before harvesting,
Economic Response
Cost and productivity are important factors for any economic sector. However, in the end a product’s quality and safety also matter. For example, a car manufacturer can efficiently produce a low cost auto, but if that auto is a ‘Yugo’, will anyone care to purchase it? The use of glyphosate is banned or restricted in a number of countries, and even a number of US cities.[5] In addition, genetically modified organism (GMO) crops are also either banned, restricted, or require labeling in a number of countries and states. More than 90% of GMO corn and soybeans in the U.S. are genetically engineered to tolerate glyphosate. See the maps below for country level information.[6],[7],[8]

Countries Requiring GMO labeling

Interestingly, many GMO crops were created in order to reduce glyphosate’s effect on them. Glyphosate works by disrupting the shikimate metabolic pathway. This pathway allows bacteria, fungi, algae, and plants to synthesize aromatic amino acids. Technically, glyphosate interferes with an enzyme (EPSB) binding with a particular molecule (PEP). At the place where the two bind, there is a glycine molecule. Glyphosate also contains a glycine molecule, which is highly susceptible to binding with the PEP molecule instead.[9] Glyphosate’s binding with the PEP molecule breaks the pathway, and the organism dies. If glyphosate wasn’t toxic to the plants being treated, why were GMO plants created?
GMO crops labeled ‘Roundup-Ready” were introduced in the late 1990’s. These include; maize (corn), soybeans, canola, cotton, sugar beets, and alfalfa.[10] One way to modify these plants is by substituting an alanine molecule for the glycine molecule within the crop plants. The alanine molecule functions in a similar manner as the glycine, but is not susceptible to binding with glyphosate. This fills the spot looking to bind with glycine, leaving it unaffected by glyphosate.[11] It also raises a question. If the plants we use for food require a genetic modification to prevent them from being poisoned, why would we expect to be unaffected by consuming plants where glyphosate is used?
An argument is also made that without the use of glyphosate-based herbicides, cropland could become less valuable and shift to alternative uses. I disagree. If glyphosate increases crop output and is not used then, all other things being equal, we should expect crop output to decrease. A decrease in the food supply. If food is essential, and it is, then we should see demand for food production increase. This should increase demand for cropland making it more valuable, not less.
Perhaps it’s not that food’s cost has increased, but rather the fiat currency we use (Federal Reserve Notes) has lost 97% of its value since the Fed’s creation in 1913, and 98% of its 1971 value when America left the gold standard. In addition, more land used to grow crops could result in a demand for more people farming, adding to employment in a critical part of the economy. If an industry is critical to our national security, then aren’t the people who work in that industry also critical?
Health Related Background
A study showed glyphosate levels in humans increasing between 1993 and 2016. The average glyphosate levels in the participants increased from .024 μg/L (micrograms per liter) in 1993 to .314 μg/L in 2016. The average metabolic levels in the same participants increased from .008 μg/L to .285 μg/L during the same period, reaching a level of at least .401 μg/L in 71 of the 100 study participants.[12] That is a more than tenfold increase in a little over twenty years. Increased use of glyphosate on wheat also correlates with an increase in celiac disease and deaths due to intestinal infection. See charts the below.[13] Celiac disease is an autoimmune disorder resulting from gluten intolerance. Gluten is a wheat protein, and difficult for the human body to digest. Gluten’s digestion requires enzymes produced only by gut bacteria that break it down.


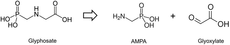
Glyphosate breaks down into two components, aminomethylphosphonic acid (AMPA) and glyoxylate as shown below.[14]
It is assumed that glyphosate readily degrades in the soil, but this ability is driven by the soil’s composition. The half-life of glyphosate in the soil ranges from 1 to 280 days. The half-life of AMPA, its main component, is between 23 and 958 days. Glyphosate is also a metal chelate, meaning it readily bonds with metal molecules. It can remain biologically inactive for some time, allowing it to reach groundwater supplies. In addition, it is highly soluble in water.[15]
Last, the Canadian Food Inspection Agency took 3,188 food samples, of which 869 were grain products. They found 36.6% of the grain products tested contained glyphosate residue. Wheat and/or gluten are used in many processed food products.[16] The products tested were only a very small sample. In addition, glyphosate is also found in many vegetable-based fats, such as soybean and canola oil.[17]
In summary, even though glyphosate amounts may be small, they can come from many food sources, its levels can build up over time in the soil, and it can even reach our drinking water supply. There is a correlation between glyphosate use and instances of celiac and deaths from intestinal infections. It is now time to look at the potential health effects on the human body.
Potential Glyphosate Effects
This section addresses the executive order’s healthy food objective. A number of health concerns exist in the literature regarding the use of glyphosate.
These include;[18]
- As noted previously, glyphosate is an efficient metal chelator that disrupts the shikimate pathway. This pathway does not exist in humans or animals per se, but does exist in the microbes within our gut that digest our food. Certain minerals become unavailable to the good bacteria (lactobacillus and bifidobacteria) when glyphosate is present and, via the shikimate pathway disruption, kills these helpful bacteria off. These bacteria produce enzymes our bodies need to process both gluten and casein (a milk protein). There are also bad bacteria present in the gut. However, these bad bacteria have an ability to mutate and increase in number in glyphosate’s presence. This produces an imbalance in the gut’s microbes affecting digestion that can eventually lead to autoimmune related problems, such as celiac.
- The same metal chelator property could also amplify vaccine side effects, due to the use of heavy metals in some vaccines. This can lead to autoimmune responses in the body as it begins to attack its own proteins as it cannot differentiate between useful proteins in the body and glyphosate.
- Cytochrome P450 is an enzyme used to convert linoleic acid into an endogenous cannabinoid that eases pain. Glyphosate’s presence also disrupts this process. That disruption could lead to an increase in pain due to the absence of the cannabinoid. It is also possible this disruption results in the production of leukotrienes instead, which signal the body to turn on an inflammatory response—and contribute to chronic pain conditions.
- One final potential concern regards collagen. Collagen is a primary protein for our connective tissues, and also has a high glycine content. About one quarter of our body’s protein is collagen. Collagen has a long molecular sequence, and contains a number of glycine molecules. These glycine molecules hook together to form a strong triple helix. Glyphosate’s presence could disrupt collagen structure, due to its ability to bind to the same places as glycine, its property as a metal chelate, and its different molecular structure—which can cause a molecule to misfold and disrupt its functioning.
Even if glyphosate is present in small amounts, it has many different sources. Such exposure serves as a stressor to many of the body’s normal functions. In addition, the process disruptions resulting from glyphosate’s presence in some cases have no quick fix. Restoring bacteria balance in the gut or undoing some of the autoimmune responses may not be easy—or even possible in the short run.
Is There Any Answer?
There is one simple thing one can do. Taking a glycine supplement adds more glycine to the body. This glycine can be used by the bacteria in the gut to fill up the spots looking for a glycine molecule. This leaves the glyphosate no empty slots for it to attach. This is the same type of solution use to create the GMO crops that are resistant to glyphosate, as noted above.[19] But as with all supplements, you should check with a healthcare professional prior to making changes in the things you take for your health. This is just a possibility. It doesn’t solve the problem, but has the potential to lessen glyphosate’s negative impacts.
My hope is this information reaches the President and his administration, and that a course better balancing economic and health objectives can be reached.
Footnotes:
[1] The White House, Promoting the National Defense by Ensuring an Adequate Supply of Elemental Phosphorous and Glyphosate-Based Herbicides, February 18, 2026, https://www.whitehouse.gov/presidential-actions/2026/02/promoting-the-national-defense-by-ensuring-an-adequate-supply-of-elemental-phosphorus-and-glyphosate-based-herbicides/. Accessed, February, 2026.
[2] Ibid.
[3] Economic Research Service, Land Use, Land Value & Tenure – Major Land Uses, USDA, Updated February 9, 2026, https://www.ers.usda.gov/topics/farm-economy/land-use-land-value-tenure/major-land-uses . Accessed, February, 2026.
[4] AZ Dieticians, Gluten and Glyphosate: Everything You Need to Know, Updated: February 5, 2026, https://azdietitians.com/blog/gluten-and-glyphosate-everything-you-need-to-know/ . Accessed, February, 2026.
[5] Wisner Baum, Where is Glyphosate Banned?, https://www.wisnerbaum.com/toxic-tort-law/monsanto-roundup-lawsuit/where-is-glyphosate-banned/ . Accessed February, 2026.
[6] World Population Review, Countries that Ban GMO, 2026, https://worldpopulationreview.com/country-rankings/countries-that-ban-gmos . Accessed, February, 2026.
[7] Center for Food Safety, International Labeling Laws, https://www.centerforfoodsafety.org/issues/976/ge-food-labeling/international-labeling-laws . Accessed February, 2026.
[8] Broaddus, Hannah, The Comprehensive List: Where GMOs are Banned, Centra Foods, August 5, 2015, https://www.centrafoods.com/blog/the-comprehensive-list-where-gmos-are-banned . Accessed February, 2026.
[9] Mercola, John, Dr., MIT Scientist: How Glyphosate Destroys Your Health, Children’s Health Defense, June 30,2021, https://childrenshealthdefense.org/defender/stephanie-seneff-toxic-legacy-glyphosate-destroying-our-health/ . Accessed February, 2026.
[10] Mesnage, Robin and Antoniou, Michael N., Facts and Fallacies in the Debate on Glyphosate Toxicity, NIH, November 24, 2017, https://pmc.ncbi.nlm.nih.gov/articles/PMC5705608/ . Accessed, February, 2026.
[11] Mercola, John, Dr., MIT Scientist: How Glyphosate Destroys Your Health, Children’s Health Defense, June 30,2021, https://childrenshealthdefense.org/defender/stephanie-seneff-toxic-legacy-glyphosate-destroying-our-health/ . Accessed February, 2026.
[12] AZ Dieticians, Gluten and Glyphosate: Everything You Need to Know, Updated: February 5, 2026, https://azdietitians.com/blog/gluten-and-glyphosate-everything-you-need-to-know/ . Accessed, February, 2026
[13] Samset, Anthony and Seneff, Stephanie, Glyphosate, pathways to modern diseases II: Celiac sprue and gluten intolerance, NIH, December 3, 2013, https://pmc.ncbi.nlm.nih.gov/articles/PMC3945755/ . Accessed, February, 2026.
[14] Ibid.
[15] Ferreira, Carmen Costas, Duran, Rafael, and Faro, Lilian R.F., Toxic Effects of Glyphosate on the Nervous System: A Systematic Review, NIH, April 21, 2022, https://pmc.ncbi.nlm.nih.gov/articles/PMC9101768/ . Accessed, February, 2026.
[16] AZ Dieticians, Gluten and Glyphosate: Everything You Need to Know, Updated: February 5, 2026, https://azdietitians.com/blog/gluten-and-glyphosate-everything-you-need-to-know/ . Accessed, February, 2026.
[17] Mercola, John, Dr., MIT Scientist: How Glyphosate Destroys Your Health, Children’s Health Defense, June 30,2021, https://childrenshealthdefense.org/defender/stephanie-seneff-toxic-legacy-glyphosate-destroying-our-health/ . Accessed February, 2026.
[18] Ibid.
[19] Ibid.

